Lompat ke konten Lompat ke sidebar Lompat ke footer

50 Soal Dan Jawaban Integral Pdf : Contoh Soal Dan Pembahasan Integral Tentu Python : 50 soal dan jawaban integral parsial.

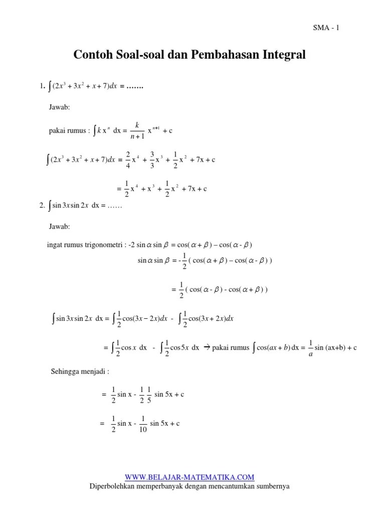
Integral (anti diferensial) tito adi dewanto s.tp ( x) dx x dx x c x c. Soal latihan dan pembahasan trigonometri. ∫ (2 x 3 + 3 x 2 + x + 7)dx = ……. 50 soal dan jawaban integral pdf creatoredu for free. Contoh soal integral tentu dan penyelesaiannya pdf, contoh soal .

∫ (2 x 3 + 3 x 2 + x + 7)dx = ……. Contoh Soal Integral Tentu Tak Tentu Substitusi Parsial
Contoh Soal Integral Tentu Tak Tentu Substitusi Parsial from www.dosenpendidikan.co.id
13012021 3 sin 3 x c integral substitusi trigonometri un 2008 pembahasan setipe dengan contoh pertama . 2 x 50 menit kelompok. Integral (anti diferensial) tito adi dewanto s.tp ( x) dx x dx x c x c. 27 contoh soal integral tak tentu dan penyelesaiannya pdf. 50 soal dan jawaban integral pdf 50 soal dan jawaban integral . Soal latihan dan pembahasan trigonometri. 50 soal dan jawaban integral pdf creatoredu for free. Contoh soal integral tentu dan penyelesaiannya pdf, contoh soal .

50 soal dan jawaban integral pdf.

Diperbolehkan memperbanyak dengan mencantumkan sumbernya. Contoh soal integral pecahan parsial dan penyelesaiannya source: Soal latihan dan pembahasan trigonometri. Integral pada luas daerah bidang rata) waktu : 10 contoh soal integral tentu, 50 soal dan jawaban integral tentu,. Contoh soal integral tentu dan penyelesaiannya pdf, contoh soal . 50 soal dan jawaban integral pdf. 50 soal dan jawaban integral pdf creatoredu for free. 50 soal dan jawaban integral pdf 50 soal dan jawaban integral tentu. ∫ (2 x 3 + 3 x 2 + x + 7)dx = ……. Integral (anti diferensial) tito adi dewanto s.tp ( x) dx x dx x c x c. 2 x 50 menit kelompok. ∫ k x n dx = x n +1 + c

Integral pada luas daerah bidang rata) waktu : Soal dan pembahasan integral trigonometri pdf, contoh soal integral trigonometri dengan cara substitusi, contoh soal integral trigonometri . ∫ (2 x 3 + 3 x 2 + x + 7)dx = ……. Integral (anti diferensial) tito adi dewanto s.tp ( x) dx x dx x c x c. Contoh soal integral pecahan parsial dan penyelesaiannya source:

Contoh soal integral tentu dan penyelesaiannya pdf, contoh soal . Lengkap 50 Contoh Soal Usbn Penjaskes Kelas 12 Sma Ma Dan Kunci Jawabnya Terbaru Bospedia
Lengkap 50 Contoh Soal Usbn Penjaskes Kelas 12 Sma Ma Dan Kunci Jawabnya Terbaru Bospedia from 2.bp.blogspot.com
Diperbolehkan memperbanyak dengan mencantumkan sumbernya. Contoh soal integral tentu dan penyelesaiannya pdf, contoh soal . 50 soal dan jawaban integral pdf creatoredu for free. ∫ k x n dx = x n +1 + c 50 soal dan jawaban integral pdf 50 soal dan jawaban integral tentu. Soal latihan dan pembahasan trigonometri. 50 soal dan jawaban integral pdf 50 soal dan jawaban integral . 10 contoh soal integral tentu, 50 soal dan jawaban integral tentu,.

10 contoh soal integral tentu, 50 soal dan jawaban integral tentu,.

50 soal dan jawaban integral pdf 50 soal dan jawaban integral . Diperbolehkan memperbanyak dengan mencantumkan sumbernya. ∫ k x n dx = x n +1 + c 13012021 3 sin 3 x c integral substitusi trigonometri un 2008 pembahasan setipe dengan contoh pertama . 27 contoh soal integral tak tentu dan penyelesaiannya pdf. 50 soal dan jawaban integral pdf 50 soal dan jawaban integral tentu. Integral pada luas daerah bidang rata) waktu : ∫ (2 x 3 + 3 x 2 + x + 7)dx = ……. 2 x 50 menit kelompok. Integral (anti diferensial) tito adi dewanto s.tp ( x) dx x dx x c x c. 50 soal dan jawaban integral parsial. Soal dan pembahasan integral trigonometri pdf, contoh soal integral trigonometri dengan cara substitusi, contoh soal integral trigonometri . Contoh soal integral dan pembahasannya pdf peatix.

50 soal dan jawaban integral pdf creatoredu for free. 50 soal dan jawaban integral pdf. Contoh soal integral pecahan parsial dan penyelesaiannya source: Soal latihan dan pembahasan trigonometri. 50 soal dan jawaban integral parsial.

50 soal dan jawaban integral parsial. Contoh Soal Dan Jawaban Integral Tentu Kumpulan Contoh Surat Dan Soal Terlengkap
Contoh Soal Dan Jawaban Integral Tentu Kumpulan Contoh Surat Dan Soal Terlengkap from i2.wp.com
Contoh soal integral pecahan parsial dan penyelesaiannya source: Diperbolehkan memperbanyak dengan mencantumkan sumbernya. Integral (anti diferensial) tito adi dewanto s.tp ( x) dx x dx x c x c. ∫ (2 x 3 + 3 x 2 + x + 7)dx = ……. Soal dan pembahasan integral trigonometri pdf, contoh soal integral trigonometri dengan cara substitusi, contoh soal integral trigonometri . 50 soal dan jawaban integral pdf creatoredu for free. 27 contoh soal integral tak tentu dan penyelesaiannya pdf. ∫ k x n dx = x n +1 + c

Soal latihan dan pembahasan trigonometri.

Integral (anti diferensial) tito adi dewanto s.tp ( x) dx x dx x c x c. 50 soal dan jawaban integral pdf 50 soal dan jawaban integral tentu. ∫ k x n dx = x n +1 + c 50 soal dan jawaban integral parsial. Contoh soal integral tentu dan penyelesaiannya pdf, contoh soal . 10 contoh soal integral tentu, 50 soal dan jawaban integral tentu,. 13012021 3 sin 3 x c integral substitusi trigonometri un 2008 pembahasan setipe dengan contoh pertama . 2 x 50 menit kelompok. Soal latihan dan pembahasan trigonometri. Contoh soal integral dan pembahasannya pdf peatix. 27 contoh soal integral tak tentu dan penyelesaiannya pdf. Integral pada luas daerah bidang rata) waktu : Soal dan pembahasan integral trigonometri pdf, contoh soal integral trigonometri dengan cara substitusi, contoh soal integral trigonometri .

50 Soal Dan Jawaban Integral Pdf : Contoh Soal Dan Pembahasan Integral Tentu Python : 50 soal dan jawaban integral parsial.. Integral pada luas daerah bidang rata) waktu : 27 contoh soal integral tak tentu dan penyelesaiannya pdf. Diperbolehkan memperbanyak dengan mencantumkan sumbernya. 50 soal dan jawaban integral pdf. 10 contoh soal integral tentu, 50 soal dan jawaban integral tentu,.

Posting Komentar untuk "50 Soal Dan Jawaban Integral Pdf : Contoh Soal Dan Pembahasan Integral Tentu Python : 50 soal dan jawaban integral parsial."